SOLUTION: Assume the probability of a girl being born is the same as the probability of a boy being born. In a family of four children, find the probability of two boys and two girls.

Algebra ->  Probability-and-statistics -> SOLUTION: Assume the probability of a girl being born is the same as the probability of a boy being born. In a family of four children, find the probability of two boys and two girls.      Log On


   



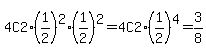
Question 432856: Assume the probability of a girl being born is the same as the probability of a boy being born. In a family of four children, find the probability of two boys and two girls.
Answer by robertb(5830) About Me  (Show Source):