SOLUTION: One out of eleven people are left-handed. Determine the probability that a class containing 35 students does not have any left-handed students in it.
p= 11/35?? but that seems
Algebra ->
Probability-and-statistics
-> SOLUTION: One out of eleven people are left-handed. Determine the probability that a class containing 35 students does not have any left-handed students in it.
p= 11/35?? but that seems
Log On
Question 420944: One out of eleven people are left-handed. Determine the probability that a class containing 35 students does not have any left-handed students in it.
p= 11/35?? but that seems to easy, what am i missing?????? Answer by josmiceli(19441) (Show Source):
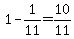
You can put this solution on YOUR website! Definitely get a 2nd opinion, but my reasoning is thus:
Each of the 35 students has a
probability of not being left handed. I want all of them
to be not left handed, so I multiply this P 35 times.
This is P = 35.58/1000