SOLUTION: Consider a function f(x) = x2+x+1 1) Specify the integrated function F(x) for the given f(x). 2) Find the value of the area between 1 and 2 under the integrated function F(x)

Algebra ->  Probability-and-statistics -> SOLUTION: Consider a function f(x) = x2+x+1 1) Specify the integrated function F(x) for the given f(x). 2) Find the value of the area between 1 and 2 under the integrated function F(x)       Log On


   



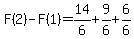
Question 381449: Consider a function f(x) = x2+x+1
1) Specify the integrated function F(x) for the given f(x).
2) Find the value of the area between 1 and 2 under the integrated function F(x)

Answer by Fombitz(32388) About Me  (Show Source):