SOLUTION: the lenghts of pregnancies of humans are normally distributed with a mean of 268 days and a standard deviation of 15 days. A baby is premature if born 3 weeks early. What percentag

Algebra ->  Probability-and-statistics -> SOLUTION: the lenghts of pregnancies of humans are normally distributed with a mean of 268 days and a standard deviation of 15 days. A baby is premature if born 3 weeks early. What percentag      Log On


   



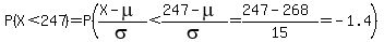
Question 376281: the lenghts of pregnancies of humans are normally distributed with a mean of 268 days and a standard deviation of 15 days. A baby is premature if born 3 weeks early. What percentage of babies are born prematurely?
Answer by robertb(5830) About Me  (Show Source):
You can put this solution on YOUR website!
. Hence P%28X+%3C+247%29+=+P%28Z+%3C+-1.4%29+=+0.0808. Thus the percentage of premature babies is 8.08%