SOLUTION: Mrsl Larsen's third grade class has 22 students, 12 girls and 10 boys. Two students must be selected at random to be in the spring play. What is the probability that one boy and on

Algebra ->  Probability-and-statistics -> SOLUTION: Mrsl Larsen's third grade class has 22 students, 12 girls and 10 boys. Two students must be selected at random to be in the spring play. What is the probability that one boy and on      Log On


   



Question 349671: Mrsl Larsen's third grade class has 22 students, 12 girls and 10 boys. Two students must be selected at random to be in the spring play. What is the probability that one boy and one girl will be chosen? Order is not important.
Found 3 solutions by stanbon, Fombitz, ewatrrr:
Answer by stanbon(75887) About Me  (Show Source):
You can put this solution on YOUR website!
Mrsl Larsen's third grade class has 22 students, 12 girls and 10 boys. Two students must be selected at random to be in the spring play. What is the probability that one boy and one girl will be chosen? Order is not important.
-------------
P(choose 2 girls)= 12C2/22C2
---
P(choose 2 boys) = 10C2/22C2
----
P(one boy and one girl) = 1- [(12C2+10C2)/22C2]
=================
Cheers,
Stan H.

Answer by Fombitz(32388) About Me  (Show Source):
Answer by ewatrrr(24785) About Me  (Show Source):
You can put this solution on YOUR website!
Hi,
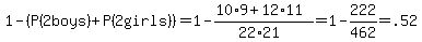
*Note: Probability of choosing one boy and one girl from 22 students of which 12 are girls and 10 are boys is:
1- the probability of the choice resulting in 2 boys or girls.
.
P%282+boys%29+=+%2810%2F22%29%2A%289%2F21%29
.
P%282+girls%29=++%2812%2F22%29%2A%2811%2F21%29

.
there is a 52 % chance of choosing a boy and a girl.