SOLUTION: a die is loaded so that probability of getting face x is proportional to x. the probability of an odd number occurring when the die will rolled would be?

Algebra ->  Probability-and-statistics -> SOLUTION: a die is loaded so that probability of getting face x is proportional to x. the probability of an odd number occurring when the die will rolled would be?      Log On


   



Question 324612: a die is loaded so that probability of getting face x is proportional to x. the probability of an odd number occurring when the die will rolled would be?
Answer by Fombitz(32388) About Me  (Show Source):
You can put this solution on YOUR website!
P%281%29=1%2FN
P%282%29=2%2FN
P%283%29=3%2FN
P%284%29=4%2FN
P%285%29=5%2FN
P%286%29=6%2FN
P%281%29%2BP%282%29%2BP%283%29%2BP%284%29%2BP%285%29%2BP%286%29=1
%281%2B2%2B3%2B4%2B5%2B6%29%281%2FN%29=1
N=21
.
.
.
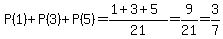
P(odd)=P%281%29%2BP%283%29%2BP%285%29=%281%2B3%2B5%29%2F21=9%2F21=3%2F7