SOLUTION: - Use Chebyshev’s theorem to find what percent of the values will fall between 123 and 179 for a data set with mean of 151 and standard deviation of 14. I want to understand th

Algebra ->  Probability-and-statistics -> SOLUTION: - Use Chebyshev’s theorem to find what percent of the values will fall between 123 and 179 for a data set with mean of 151 and standard deviation of 14. I want to understand th      Log On


   



Question 306452: - Use Chebyshev’s theorem to find what percent of the values will fall between 123 and 179 for a data set with mean of 151 and standard deviation of 14.
I want to understand this so bad. I am lost. Please help me.

Answer by Edwin McCravy(20083) About Me  (Show Source):
You can put this solution on YOUR website!

Chebyshev's theorem:  The fraction of any set of numbers 
lying within k standard deviations of those numbers of 
the mean of those numbers is at least

1-1%2Fk%5E2

where k=%22the_%27within%27_number%22%2F%22the_standard_deviation%22, 
which must be greater than 1.

Use Chebyshev’s theorem to find what percent of the values
(at least) will fall between 123 and 179 for a data set with mean of
151 and standard deviation of 14.

We subtract 151-123 and get 28, which tells us that

123 is 28 units below the mean

We subtract 179-151 and also get 28, which tells us that

151 is 28 units above the mean.

Those two together tell us that the values between 123 and 179 are 
all within 28 units of the mean.  Therefore the "within number"
is 28.

So we find the number of standard deviations, k, which the 
"within number", 28, amounts to by dividing it by the standard deviation:

k=%22the_%27within%27_number%22%2F%22the_standard_deviation%22+=+28%2F14=2

So now we know that the values between 123 and 179 are 
all within 28 units of the mean, which is the same as within 
k=2 standard deviations of the mean.

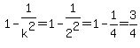
Now, since k > 1 we can use Chebyshev's formula to find the fraction of 
the data that are within k=2 standard deviations of the mean.  Substituting
k=2 we have:

 1-1%2Fk%5E2=1-1%2F2%5E2+=+1-1%2F4=3%2F4

So 3%2F4 of the data lie between 123 and 179.  And since

3%2F4+=+%2275%25%22 that implies that 75% of the data values are

between 123 and 179.  

Edwin