SOLUTION: The distance A was measured 14 times with the same measuring device. The measurement results (in meters) are as follows: 50, 51, 49, 48, 50, 50, 49, 49, 49, 50, 49, 50, 50, 54.

Algebra ->  Probability-and-statistics -> SOLUTION: The distance A was measured 14 times with the same measuring device. The measurement results (in meters) are as follows: 50, 51, 49, 48, 50, 50, 49, 49, 49, 50, 49, 50, 50, 54.       Log On


   



Question 1205588: The distance A was measured 14 times with the same measuring device. The measurement results (in meters) are as follows: 50, 51, 49, 48, 50, 50, 49, 49, 49, 50, 49, 50, 50, 54.
Create a variation line, calculate the sample mean, the standard deviation of the measurement, the coefficient of variation, and the sample mean relative standard error.

Answer by MathLover1(20850) About Me  (Show Source):
You can put this solution on YOUR website!
50, 51, 49, 48, 50, 50%2C+%7B%7B%7B49,+49, 49, 50, 49, 50, 50, 54

mean


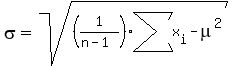
sample standard deviation sigma+
sigma=sqrt%28%281%2F%28n-1%29%29%2Asum%28x%5Bi%5D-mu%29%5E2%29

n=14



sigma=sqrt%2825.7144%2F%2814-1%29%29
sigma=sqrt%2825.7144%2F13%29
sigma=1.406