SOLUTION: Suppose X has a Binomial distribution with n trials, and a probability of success p. The moment generating function for X has been shown to be MX (t) = (pe^t + (1 − p))^n. Usin

Algebra ->  Probability-and-statistics -> SOLUTION: Suppose X has a Binomial distribution with n trials, and a probability of success p. The moment generating function for X has been shown to be MX (t) = (pe^t + (1 − p))^n. Usin      Log On


   



Question 1200317: Suppose X has a Binomial distribution with n trials, and a probability of success p. The moment generating function for X has been shown to be
MX (t) = (pe^t + (1 − p))^n.
Using this result, find the distribution of the random variable Y for the following moment generating function.
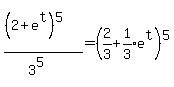
MY (t) = (2+e^t)^5/3^5

Answer by math_tutor2020(3821) About Me  (Show Source):
You can put this solution on YOUR website!

Hint:

%28%282%2Be%5Et%29%5E5%29%2F%283%5E5%29+=+%28%282%2Be%5Et%29%2F3%29%5E5

%28%282%2Be%5Et%29%5E5%29%2F%283%5E5%29+=+%282%2F3%2B%28e%5Et%29%2F3%29%5E5

%28%282%2Be%5Et%29%5E5%29%2F%283%5E5%29+=+%282%2F3%2Bexpr%281%2F3%29e%5Et%29%5E5

%28%282%2Be%5Et%29%5E5%29%2F%283%5E5%29+=+%28expr%281%2F3%29e%5Et%2B2%2F3%29%5E5
I'll let the student finish up.

Side note: You should use parenthesis to indicate (2+e^t)^5 is over top 3^5
So you should write ((2+e^t)^5)/(3^5)