Forgive Ikleyn, she doesn't understand regression and correlation. And
she loves to run people down.
Solve one equation for x and the other for y, so that the product of
the coefficients of variables on the right are less than 1. So we
solve the first one for x and the second one for y.
So
and










<--correlation coefficient
The point whose coordinates are the means is the point of
intersection of the two regression lines.
To find the mean value for x and y, solve the system
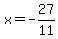
Eliminate y by multiplying the first by 5 and the second by 6
<--mean value of x.
Eliminate x by multiplying the first by 4 and the second by 7
<--mean value of y.
Edwin