SOLUTION: A gardener buys a package of seeds. Ninety percent of seeds of this type germinate. The gardener plants 90 seeds. Approximate the probability that fewer than 72 seeds germina

Algebra ->  Probability-and-statistics -> SOLUTION: A gardener buys a package of seeds. Ninety percent of seeds of this type germinate. The gardener plants 90 seeds. Approximate the probability that fewer than 72 seeds germina      Log On


   



Question 1185639: A gardener buys a package of seeds. Ninety percent of seeds
of this type germinate. The gardener plants 90 seeds.
Approximate the probability that fewer than 72 seeds
germinate.
a. 0.9996
b.0.9998
c.0.0004
d.0.0002

Answer by robertb(5830) About Me  (Show Source):
You can put this solution on YOUR website!
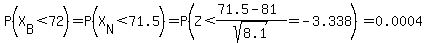
The original distribution is B(90, 0.90). Use the normal distribution N(np, npq) = N(81, 8.1) to approximate the probability P%28X%5BB%5D+%3C+72%29.
(Both np and n(1-p) are greater than 5, so we can do the normal approximation.)

.

The answer is thus (c).