SOLUTION: A business management student states that each MBA student is obligate to prepare more than 5 essays per week. To test his claim a professor of statistics from his university selec

Algebra ->  Probability-and-statistics -> SOLUTION: A business management student states that each MBA student is obligate to prepare more than 5 essays per week. To test his claim a professor of statistics from his university selec      Log On


   



Question 1184016: A business management student states that each MBA student is obligate to prepare more than 5 essays per week. To test his claim a professor of statistics from his university selected a random sample of 10 MBA students and asked them how many essays should be prepared every week. The sample mean (𝑋̅) number of essays that should be prepared every week is 6. Can professor conclude with a significance level of 0.05 that the claim is true, if the number of essays per week is normally distributed with standard deviation 𝜎=1,5?
Answer by robertb(5830) About Me  (Show Source):
You can put this solution on YOUR website!

H%5B0%5D%3A++mu+=+5
H%5Ba%5D%3A++mu+%3E+5
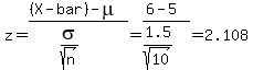
Use a one-tailed z-test since it is known prior that underlying population is normally distributed with a known standard deviation of sigma+=+1.5.
===>

===> p-value = 0.018 < 0.05 = alpha.

Hence, reject the null hypothesis and conclude that the number of essays per week may have already increased from 5.