SOLUTION:
Life insurance salesman meets his prospective customers separately. At each meeting, he makes the same effort to persuade the prospective client to be insured. The vendor's un
Algebra ->
Probability-and-statistics
-> SOLUTION:
Life insurance salesman meets his prospective customers separately. At each meeting, he makes the same effort to persuade the prospective client to be insured. The vendor's un
Log On
Question 1183651:
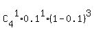
Life insurance salesman meets his prospective customers separately. At each meeting, he makes the same effort to persuade the prospective client to be insured. The vendor's understanding after a long term in the insurance business is that the probability of persuading the customer to be insured (probability of success) is 0,1. What is the probability in 4 trials to insure one of them? Answer by ikleyn(52946) (Show Source):