SOLUTION: Find x coordinate of the point on the graph y=square root of x+8 where the tangent line is parallel to the secant line that cuts the curve at x =-8 and x=7.

Algebra ->  Probability-and-statistics -> SOLUTION: Find x coordinate of the point on the graph y=square root of x+8 where the tangent line is parallel to the secant line that cuts the curve at x =-8 and x=7.       Log On


   



Question 1180829: Find x coordinate of the point on the graph y=square root of x+8 where the tangent line is parallel to the secant line that cuts the curve at x =-8 and x=7.
Answer by greenestamps(13358) About Me  (Show Source):
You can put this solution on YOUR website!


Evaluate the function at x=-8 and x=7: f(-8)=0; f(7)=sqrt(15).

Find the equation of the secant: (-8,0) to (7,sqrt(15))

slope = sqrt(15)/(7-(-8)) = sqrt(15)/15

y-0=%28sqrt%2815%29%2F15%29%28x%2B8%29
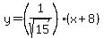
y+=+%281%2Fsqrt%2815%29%29%28x%2B8%29
Graph the function and the secant:



Find the derivative of the function:

y+=+%28x%2B8%29%5E%281%2F2%29

dy%2Fdx+=+%281%2F2%29%28%28x%2B8%29%5E%28-1%2F2%29%29%281%29+=+1%2F%282sqrt%28x%2B8%29%29

Find the x value where the slope of the tangent is the same as the slope of the secant.

%281%2F%282sqrt%28x%2B8%29%29%29=1%2Fsqrt%2815%29
2sqrt%28x%2B8%29=sqrt%2815%29
4%28x%2B8%29=15
4x%2B32=15
4x=-17
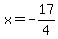
x=-17%2F4

Graph the line with slope sqrt(15)/15 touching y=sqrt(x+8) at x=-17/4 and observe that it is parallel to the secant:

Graph the function and the secant:



ANSWER: x = -17/4.

At x=-17/4, the tangent to y=sqrt(x+8) is parallel to the secant through x=-8 and x=7.