SOLUTION: If you draw one card from a standard deck of cards, what is the probability of drawing a. a 10 or a diamond b. a face card or an ace

Algebra ->  Probability-and-statistics -> SOLUTION: If you draw one card from a standard deck of cards, what is the probability of drawing a. a 10 or a diamond b. a face card or an ace       Log On


   



Question 1180031: If you draw one card from a standard deck of cards, what is the probability of drawing
a. a 10 or a diamond
b. a face card or an ace

Answer by MathLover1(20850) About Me  (Show Source):
You can put this solution on YOUR website!
If you draw one card from a standard deck of cards, what is the probability of drawing
a. a 10+or a diamond
b. a face card or an ace
There are 52 cards in a standard deck.
These cards have 4 suits: spades, diamonds, hearts, and clubs

a. a 10 or a diamond
we're asked to draw a card at random and find the probability of drawing either 10 or a diamond
With probability, we look at the fraction of ways we can achieve some condition (the numerator) over the number of ways we can do something (the denominator).
Our denominator here is 52 - the number of cards from which we can pull+1.
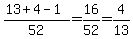
Our numerator is both all the diamonds, 13 cards, and all the 10-s,+4 cards, but we need to subtract 1 to account for the double counting of the 10 of diamonds.
In all we get:
%2813%2B4-1%29%2F52=16%2F52=4%2F130.3077 or 30.77%

b.
the probability of drawing a face card or an ace in a single draw is 4%2F13=0.3077 which is 30.77%