SOLUTION: A company is selling raffle tickets for $4. The first prize is $3500, and the second prize is $500. The company manages to sell 5000 tickets. X 3496 496 -4 P(x) 1/5000 1/5000 49

Algebra ->  Probability-and-statistics -> SOLUTION: A company is selling raffle tickets for $4. The first prize is $3500, and the second prize is $500. The company manages to sell 5000 tickets. X 3496 496 -4 P(x) 1/5000 1/5000 49      Log On


   



Question 1162300: A company is selling raffle tickets for $4. The first prize is $3500,
and the second prize is $500. The company manages to sell 5000 tickets.
X 3496 496 -4
P(x) 1/5000 1/5000 4998/5000
What is the Expected Value?

Answer by greenestamps(13209) About Me  (Show Source):
You can put this solution on YOUR website!


Formally, the expected value is the sum of each outcome multiplied by its probability. So in this example the expected value is



The expected value is -$3.20.

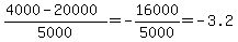
While that is the formal mathematical way to calculate expected value, in many simple expected value problems like this, there is a much easier way to find the expected value.

In this example, the total cost of the tickets is $20,000; the total payout is $3500+$500 = $4000. The expected value is then %284000-20000%29%2F5000+=+-16000%2F5000+=+-3.2