SOLUTION: one box contains 7 white balls and 2 black balls, another contains 6 white ball and 4 black balls. A card is drawn from a well shuffled deck and it is a spade 3 balls are drawn fro

Algebra ->  Probability-and-statistics -> SOLUTION: one box contains 7 white balls and 2 black balls, another contains 6 white ball and 4 black balls. A card is drawn from a well shuffled deck and it is a spade 3 balls are drawn fro      Log On


   



Question 1156744: one box contains 7 white balls and 2 black balls, another contains 6 white ball and 4 black balls. A card is drawn from a well shuffled deck and it is a spade 3 balls are drawn from the first box, otherwise 3 balls are drawn from the second box.Find the probability of getting 2 white balls and 1 black ball.
Answer by greenestamps(13334) About Me  (Show Source):
You can put this solution on YOUR website!


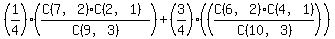
The probability of drawing a spade is 1/4; the probability of another suit is 3/4.

If the balls are drawn from the first box, the probability of getting 2 white balls and 1 black ball is %28C%287%2C2%29%2AC%282%2C1%29%29%2FC%289%2C3%29.

If the balls are drawn from the second box, the probability of getting 2 white balls and 1 black ball is %28C%286%2C2%29%2AC%284%2C1%29%29%2FC%2810%2C3%29.

P(2 white and 1 black) =

You can do the calculations....