SOLUTION: Calculate by means of the binomial theorem the value of(16.32)^1/2 to 5 decimal places

Algebra ->  Probability-and-statistics -> SOLUTION: Calculate by means of the binomial theorem the value of(16.32)^1/2 to 5 decimal places      Log On


   



Question 1153897: Calculate by means of the binomial theorem the value of(16.32)^1/2 to 5 decimal places
Found 2 solutions by MathLover1, greenestamps:
Answer by MathLover1(20850) About Me  (Show Source):
You can put this solution on YOUR website!
Consider the binomial theorem:

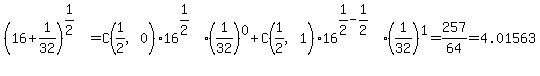
%28a%2Bb%29%5En=C%28n%2C0%29%2Aa%5En%2Ab%5E0%2BC%28n%2C1%29%2Aa%5E%28n-1%29%2Ab%5E1+...+C%28n%2Cn-1%29%2Aa%5E1%2Ab%5E%28n-1%29%2BC%28n%2Cn%29%2Aa%5E0%2Ab%5En
where n is a positive integer and C%28x%2Cy%29 is x choose+y

Since the binomial theorem only works on values in the form of a binomial:
Consider that 16.32=16%2B0.32=16%2B1%2F32
then %2816.32%29%5E%281%2F2%29 will be %2816%2B1%2F32%29%5E%281%2F2%29
By applying the binomial theorem, we get:


Answer by greenestamps(13200) About Me  (Show Source):
You can put this solution on YOUR website!


Here are the first few terms of the expansion of (a+b)^n using the binomial theorem.



When n is not a positive integer, we want to write the C%28n%2Cr%29 numbers in expanded form:

C%28n%2C0%29+=+1
C%28n%2C1%29+=+n%2F1%21
C%28n%2C2%29+=+%28n%28n-1%29%29%2F2%21%29
etc....

Then the first few terms of the expansion are



Now we can plug in n=0.5, a=16, and b=0.32 to find the square root of 16.32 to several decimal places.

a%5En+=+16%5E0.5+=+4







So we have the square root of 16.32, using the first four terms of the binomial expansion of %2816%2B.32%29%5E0.5, as being

4%2B.04-.0002%2B.000002+=+4.039802

The actual value to 9 decimal places is 4.039801975, so our approximation is good to 6 decimal places.