SOLUTION: Given a binomial distribution with n = 5 and π= .25. Determine the probabilities of the following events using the binomial formula. (Round your answers to 4 decimal places.)

Algebra ->  Probability-and-statistics -> SOLUTION: Given a binomial distribution with n = 5 and π= .25. Determine the probabilities of the following events using the binomial formula. (Round your answers to 4 decimal places.)       Log On


   



Question 1152662: Given a binomial distribution with n = 5 and π= .25. Determine the probabilities of the following events using the binomial formula. (Round your answers to 4 decimal places.)
a) x = 2
b) x = 3

Found 3 solutions by MathLover1, MathTherapy, ikleyn:
Answer by MathLover1(20850) About Me  (Show Source):
You can put this solution on YOUR website!

a) x+=+2
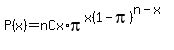
using the binomial formula
P%28x%29=+nCx%2Api%5Ex%281-pi%29%5E%28n-x%29 where x=2, n+=+5 and pi=+.25
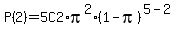
P%282%29=+5C2%2Api%5E2%281-pi%29%5E%285-2%29
P%282%29=+5C2%2A.25%5E2%281-.25%29%5E3

5C2=5%21%2F%282%21%285-2%29%21%29=%285%2A4%2A3%2A2%2A1%29%2F%282%2A3%2A2%2A1%29=10
P%282%29=+10%2A.25%5E2%28.75%29%5E3
P%282%29=+0.2637

b) x+=+3
P%28x%29=+nCx%2Api%5Ex%281-pi%29%5E%28n-x%29 where+x=3, n+=+5 and pi=.25
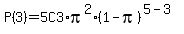
P%283%29=+5C3%2Api%5E2%281-pi%29%5E%285-3%29
P%283%29=+5C3%2A.25%5E2%281-.25%29%5E2
5C3=5%21%2F%283%21%285-3%29%21%29=%285%2A4%2A3%2A2%2A1%29%2F%282%2A3%2A2%2A1%29=10
P%283%29=+10%2A.25%5E2%28.75%29%5E2
P%283%29=+0.3516




Answer by MathTherapy(10552) About Me  (Show Source):
You can put this solution on YOUR website!

Given a binomial distribution with n = 5 and π= .25. Determine the probabilities of the following events using the binomial formula. (Round your answers to 4 decimal places.)
a) x = 2
b) x = 3
a) Using the BINOMIAL PROBABILITY formula, we get:   
b) Using the BINOMIAL PROBABILITY formula, we get:

Answer by ikleyn(52797) About Me  (Show Source):
You can put this solution on YOUR website!
.

Use the solution by tutor @MathTherapy. It is correct.

Do not use the solution by tutor @Mathlover1. It is wrong in part b).