SOLUTION: A die is loaded in such a way that the probability of the face with j dots turning up is proportional to j for j = 1,2,3,4,5,6. In 6 independent throws of this die, what is the p

Algebra ->  Probability-and-statistics -> SOLUTION: A die is loaded in such a way that the probability of the face with j dots turning up is proportional to j for j = 1,2,3,4,5,6. In 6 independent throws of this die, what is the p      Log On


   



Question 1149230: A die is loaded in such a way that the probability of the face with j dots
turning up is proportional to j for j = 1,2,3,4,5,6. In 6 independent throws
of this die, what is the probability that each face turns up exactly once?

Answer by greenestamps(13216) About Me  (Show Source):
You can put this solution on YOUR website!


1+2+3+4+5+6 = 21

P(1) = 1/21
P(2) = 2/21
P(3) = 3/21
P(4) = 4/21
P(5) = 5/21
P(6) = 6/21

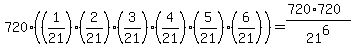
You need to get one of each outcome once. The probability of doing that in any particular order is

%281%2F21%29%282%2F21%29%283%2F21%29%284%2F21%29%285%2F21%29%286%2F21%29

Those six outcomes can occur in any of 6! = 720 different orders.

The probability of getting each outcome once in 6 rolls is



That evaluates to 0.0060 to 4 decimal places, or very close to 0.6%.