SOLUTION: You play a game of chance that you can either win or lose (there are no other possibilities) until you lose. Your probability of losing is p = 0.64. What is the probability that it

Algebra ->  Probability-and-statistics -> SOLUTION: You play a game of chance that you can either win or lose (there are no other possibilities) until you lose. Your probability of losing is p = 0.64. What is the probability that it      Log On


   



Question 1147634: You play a game of chance that you can either win or lose (there are no other possibilities) until you lose. Your probability of losing is p = 0.64. What is the probability that it
a. takes 3 games until you lose = .0829
b. takes 6 games until you lose = .0039
c. Find the mean = ?????
d. Find the standard deviation = ????

Answer by Edwin McCravy(20064) About Me  (Show Source):
You can put this solution on YOUR website!
You play a game of chance that you can either win or lose (there are no other
possibilities) until you lose. Your probability of losing is p = 0.64.
 Therefore your probability of winning is 1-0.64 = 0.36

What is the probability that it
a. takes 3 games until you lose = .0829

Let W = "win" and L = "loss"

P(W & W & L) = (0.36)(0.36)(0.64) = (0.36)2(0.64) = 0.082944

b. takes 6 games until you lose = .0039

P(W&W&W&W&W&L) = P(W)∙P(W)∙P(W)∙P(W)∙P(W)∙P(L) = 
(0.36)(0.36)(0.36)(0.36)(0.36)(0.64) = (0.36)5(0.64) = 0.0038698353  


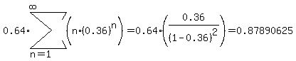
c. Find the mean = ?????

That's the sum of all the expected number of times you win before you lose. That could be either 0 or 1 or 2 or 3 or 4 or …  

The expected average number of times you win is the sum of all possible numbers of wins times the probability of winning than number of times.

[Notice that you may win 1000000 times and don't lose until the
1000001st time you play!!! So there are an infinite number of possible ways to play.] 

Expectation of 0 wins (loss the 1st time) = 0∙(0.64) = 0
Expectation of 1 win  = 1∙(0.36)(0.64)
Expectation of 2 wins = 2∙(0.36)2(0.64)
Expectation of 3 wins = 3∙(0.36)3(0.64)
Expectation of 4 wins = 4∙(0.36)4(0.64)
. . .
. . .

That's an infinite series we must sum.

%22%22=%22%22

0.64%2Asum%28%28n%2A%280.36%29%5En%5E%22%22%29%2Cn=1%2Cinfinity%29%22%22=%22%22

We use the formula sum%28n%2Ar%5En%2Cn=1%2Cinfinity%29+=+r%2F%28%281-r%29%5E2%29




d. Find the standard deviation = ????

That's a toughie.  It is similar but a whole lot harder unless there's a
simpler formula for standard deviation than the basic definition.

Edwin