SOLUTION: Draw and label a diagram for problem 1.Write answers as complete sentences 1. A rain gutter is made from sheets of aluminum that are 20 inches wide by turning up the edges to f

Algebra ->  Probability-and-statistics -> SOLUTION: Draw and label a diagram for problem 1.Write answers as complete sentences 1. A rain gutter is made from sheets of aluminum that are 20 inches wide by turning up the edges to f      Log On


   



Question 114296: Draw and label a diagram for problem 1.Write answers as complete sentences
1. A rain gutter is made from sheets of aluminum that are 20 inches wide by turning up the edges to form right angles. A) Determine the depth of the gutter that will maximize its cross-sectional area and allow the greatest amount of water to flow. B) What is the maximum cross-sectional area?

Answer by solver91311(24713) About Me  (Show Source):
You can put this solution on YOUR website!


The cross-sectional area is given by A%5Bcs%5D=f%28x%29=x%2820-2x%29=-2x%5E2%2B20x

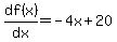
A critical point for f(x) is the value of x that satisfies df%28x%29%2Fdx=0

df%28x%29%2Fdx=-4x%2B20
-4x%2B20=0
x=5

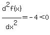
Hence x = 5 is a critical point. A critical point is a maximum if d%5E2f%28x%29%2Fdx%5E2+%3C0

d%5E2f%28x%29%2Fdx%5E2+=-4%3C0, therefore the critical point at x = 5 is a maximum.

Therefore, the depth of the gutter that will maximize its cross-sectional area and allow the greatest amount of water to flow is 5 inches.

The maximum cross-sectional area is the value of the area function at 5.

A%5Bmax%5D=f%285%29=-2%285%29%5E2%2B20%285%29=-50%2B100=50

Therefore the maximum cross-sectional area is 50 square inches.

Hope that helps.
John