SOLUTION: A jar contains 2 pennies, 6 nickels and 4 dimes. A child selects 2 coins at random without replacement from the jar. Let X represent the amount in cents of the selected coins. Fin

Algebra ->  Probability-and-statistics -> SOLUTION: A jar contains 2 pennies, 6 nickels and 4 dimes. A child selects 2 coins at random without replacement from the jar. Let X represent the amount in cents of the selected coins. Fin      Log On


   



Question 1139981: A jar contains 2 pennies, 6 nickels and 4 dimes. A child selects 2 coins at random without replacement from the jar. Let X represent the amount in cents of the selected coins.
Find the probability X = 11.
Find the expected value of X

Answer by greenestamps(13203) About Me  (Show Source):
You can put this solution on YOUR website!


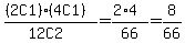
(1) P(X=11)

The selected coins have to be 1 penny and 1 dime. So the child has to choose 1 of the 2 pennies and 1 of the 4 dimes; overall he has to choose 2 of the 12 coins.

P(X=11) = %28%282C1%29%2A%284C1%29%29%2F%2812C2%29+=+%282%2A4%29%2F66+=+8%2F66

(NOTE: in a problem like this, where you are going to find the probabilities for all possible combinations of coins, it is usually easier NOT to simplify each probability fraction....)

(2) To find the expected value, multiply the probability of each number of cents by the number of cents and add all those products.

For example, the probability is 8/66 that the total will be 11 cents. The contribution to the expected value for that combination of coins is (8/66)*11.

There are 6 values possible for the 2 coins:

2 (2 pennies)
6 (penny, nickel)
11 (penny, dime )
10 (2 nickels)
15 (nickel, dime)
20 (2 dimes)

Determine the probability of each of those totals, using calculations similar to the calculation shown in part (1) above. (Note you can check your calculations by seeing that the sum of all the probabilities is 1).

Then multiply each probability times the number of cents for that case; and finally add all the products to get the expected value.