SOLUTION: The probability that I find defective bulb in a supermarket display is 0.25. Suppose I inspect 16 bulbs, a) What is the probability of finding 4 defective bulbs? b) What is t

Algebra ->  Probability-and-statistics -> SOLUTION: The probability that I find defective bulb in a supermarket display is 0.25. Suppose I inspect 16 bulbs, a) What is the probability of finding 4 defective bulbs? b) What is t      Log On


   



Question 1137176: The probability that I find defective bulb in a supermarket display is 0.25. Suppose I inspect 16 bulbs,
a) What is the probability of finding 4 defective bulbs?
b) What is the probability of finding less than 2 defective bulbs?
c) How many bulbs do I expect to be defective?
d) Find the variance of defective bulbs

Answer by Fombitz(32388) About Me  (Show Source):
You can put this solution on YOUR website!
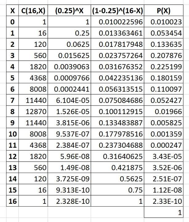
P%28X%29=C%2816%2CX%29%2A%280.25%29%5EX%2A%281-0.25%29%5E%2816-X%29
.
.
.
.
.
.
.
a) P%284%29=00.225
.
.
b) Less than 2 would be 0 or 1,
P%28X%3C2%29=P%280%29%2BP%281%29
P%28X%3C2%29=0.010%2B0.053
P%28x%3C2%29=0.063
.
.
c) Highest probability occurs with X=4.
From another direction, for a binomial distribution,
mu=n%2AP
mu=0.25%2A16
mu=4
.
.
d) For a binomial distribution,
sigma=sqrt%28n%2AP%2A%281-P%29%29
sigma=sqrt%2816%2A%281%2F4%29%283%2F4%29%29
sigma=sqrt%283%29