SOLUTION: A bag contains 5 red balls, 6 yellow balls and 4 white balls. a ball is picked at random from the bag, what is the probability that the ball is : a. red and white (b). yellow or

Algebra ->  Probability-and-statistics -> SOLUTION: A bag contains 5 red balls, 6 yellow balls and 4 white balls. a ball is picked at random from the bag, what is the probability that the ball is : a. red and white (b). yellow or      Log On


   



Question 1111427: A bag contains 5 red balls, 6 yellow balls and 4 white balls. a ball is picked at random from the bag, what is the probability that the ball is :
a. red and white (b). yellow or red (c) not red (d) neither red or yellow.

Answer by Fombitz(32388) About Me  (Show Source):
You can put this solution on YOUR website!
a) P=0, none of the balls are colored red and white.
.
.
.
b) P%28Y_or_R%29=P%28Y%29%2BP%28R%29
Without replacement,
P%28Y_or_R%29=6%2F15%2B5%2F14=53%2F70
With replacement,
P%28Y_or_R%29=6%2F15%2B5%2F15=11%2F15
.
.
.
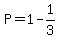
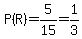
c) Find the probability for a red ball,
P%28R%29=5%2F15=1%2F3
So the answer is the complement,
P=1-1%2F3
P=2%2F3
.
.
.
d) Neither red nor yellow means white,
P%28W%29=4%2F15