Question 1095210: An urn contains 8 red marbles, 5 blue marbles and 4 green marbles. What is the number of ways a person can choose 3 red, 4 blue, and 2 green marbles?
More than one person can win the tickets. Responses must be received by Sept 31.
Hint: The number of ways is an even 4-digit number with digits adding to 15.
Answer by greenestamps(13216) (Show Source):
You can put this solution on YOUR website! A straightforward application of the fundamental counting principle, plus the "n choose r" concept. I will suppose that, since you are asking this kind of question, that you are familiar with both of those.
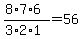
You need to choose 3 of the 8 red marbles; by definition, that is the number "8 choose 3", which is

Similarly you need to choose 4 of the 5 blue marbles (5 choose 4, which is 5) and 2 of the 4 green marbles (4 choose 2, which is 6).
Then the fundamental counting principle says that the number of ways of choosing 3 of the 8 red marbles AND 4 of the 5 blue marbles AND 2 of the 4 green marbles is

Yes, that is a 4-digit number with a digit sum of 15....
|
|
|