SOLUTION: In a bag of marbles, there are 5 green marbles, 4 yellow marbles, and 3 blue marbles. If two marbles are drawn randomly and placed back in the bag after each draw, what is the prob

Algebra ->  Probability-and-statistics -> SOLUTION: In a bag of marbles, there are 5 green marbles, 4 yellow marbles, and 3 blue marbles. If two marbles are drawn randomly and placed back in the bag after each draw, what is the prob      Log On


   



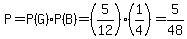
Question 1079191: In a bag of marbles, there are 5 green marbles, 4 yellow marbles, and 3 blue marbles. If two marbles are drawn randomly and placed back in the bag after each draw, what is the probability that the first marble is green and the second marble is blue?
Answer by Fombitz(32388) About Me  (Show Source):