SOLUTION: A large component of eggs is delivered to a supermarket and on the average there is one broken egg in every four boxes of six eggs delivered. Determine the probability of a shopper

Algebra ->  Probability-and-statistics -> SOLUTION: A large component of eggs is delivered to a supermarket and on the average there is one broken egg in every four boxes of six eggs delivered. Determine the probability of a shopper      Log On


   



Question 1069973: A large component of eggs is delivered to a supermarket and on the average there is one broken egg in every four boxes of six eggs delivered. Determine the probability of a shopper having a box with two broken eggs in it.
Answer by Fombitz(32388) About Me  (Show Source):
You can put this solution on YOUR website!
So 1 out of 24 eggs broken is the empirical probability.
Generate the probability,
P%28X%29=C%286%2CX%29%281%2F24%29%5EX%2A%281-1%2F24%29%5E%286-X%29
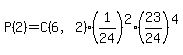
When X=2,
P%282%29=C%286%2C2%29%281%2F24%29%5E2%2823%2F24%29%5E4
P%282%29=15%2A%2823%5E4%2F24%5E6%29
P%282%29=1399205%2F63700992 or approximately
P%282%29=0.202