SOLUTION: A student is required to perform a finger maze task.he has one chance in two of making the correct turn at each of the ten choice points. A.what is the probability that he will ch

Algebra ->  Probability-and-statistics -> SOLUTION: A student is required to perform a finger maze task.he has one chance in two of making the correct turn at each of the ten choice points. A.what is the probability that he will ch      Log On


   



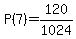
Question 1055650: A student is required to perform a finger maze task.he has one chance in two of making the correct turn at each of the ten choice points.
A.what is the probability that he will choose seven correct turns on the first trial?

Answer by Fombitz(32388) About Me  (Show Source):