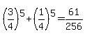
SOLUTION: A coin is loaded so that the probability of a head occurring on a single toss is 3/4. In five tosses of the coin: -What is the probability of getting all heads or all tails? - Ex

Algebra ->  Probability-and-statistics -> SOLUTION: A coin is loaded so that the probability of a head occurring on a single toss is 3/4. In five tosses of the coin: -What is the probability of getting all heads or all tails? - Ex      Log On


   



Question 1028273: A coin is loaded so that the probability of a head occurring on a single toss is 3/4. In five tosses of the coin:
-What is the probability of getting all heads or all tails?
- Exactly 2 heads or exactly 2 tails?

Answer by robertb(5830) About Me  (Show Source):