SOLUTION: A fair coin is flipped 9 times. What is the probability of getting exactly 6 heads? Please show work.
Algebra
->
Probability-and-statistics
-> SOLUTION: A fair coin is flipped 9 times. What is the probability of getting exactly 6 heads? Please show work.
Log On
Algebra: Probability and statistics
Section
Solvers
Solvers
Lessons
Lessons
Answers archive
Answers
Click here to see ALL problems on Probability-and-statistics
Question 1027425
:
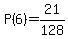
A fair coin is flipped 9 times. What is the probability of getting exactly 6 heads?
Please show work.
Answer by
Fombitz(32388)
(
Show Source
):
You can
put this solution on YOUR website!