SOLUTION: It has been reported that a third of all credit card users pay their bills in full each month. 10 credit card users are selected. What is the probability that (a)none of them p

Algebra ->  Probability-and-statistics -> SOLUTION: It has been reported that a third of all credit card users pay their bills in full each month. 10 credit card users are selected. What is the probability that (a)none of them p      Log On


   



Question 1012410: It has been reported that a third of all credit card users pay their bills in full each month.
10 credit card users are selected. What is the probability that
(a)none of them pay their bills in full each month
(b)one of them pays their bills in full each month
(c)at least two of them pay their bills in full each month?

Express your answers to 3 decimal places

Found 2 solutions by stanbon, Fombitz:
Answer by stanbon(75887) About Me  (Show Source):
You can put this solution on YOUR website!
It has been reported that a third of all credit card users pay their bills in full each month.
10 credit card users are selected. What is the probability that
-----
Binomial Problems with n = 10 and p(pay) = 1/3 ; p(not pay all) = 2/3
-----------------------
(a)none of them pay their bills in full each month
Ans: P(x = 0) = (2/3)^10 = 0.0173
-----------------------
(b)one of them pays their bills in full each month
P(x = 1) = 10C1*(1/3)(2/3)^9 = binompdf(10,1/3,1) = 0.0867
-----------------------
(c)at least two of them pay their bills in full each month?
P(2<= x <=10) = 1 - binomcdf(10,1/3,1) = 0.896
==============
Cheers,
Stan H.
---------------

Answer by Fombitz(32388) About Me  (Show Source):
You can put this solution on YOUR website!
P%28n%29=C%2810%2Cn%29%2A%281%2F3%29%5En%2A%282%2F3%29%5E%2810-n%29
a) When n=0
P%280%29=C%2810%2C0%29%2A%281%2F3%29%5E0%2A%282%2F3%29%5E%2810-0%29
P%280%29=1%2A1%2A%282%2F3%29%5E%2810%29
P%280%29=1024%2F59049
b) When n=1
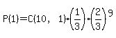
P%281%29=C%2810%2C1%29%2A%281%2F3%29%2A%282%2F3%29%5E9
P%281%29=5120%2F59049
c) At least 2 means n%3E=2, but you know that,
P%28n=0%29%2BP%28n=1%29%2BP%28n%3E=2%29=1
So then,
1024%2F59049%2B5120%2F59049%2BP%28n%3E=2%29=1
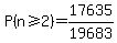
P%28n%3E=2%29=1-6144%2F59049
P%28n%3E=2%29=52905%2F59049
P%28n%3E=2%29=17635%2F19683