SOLUTION: Find a degree 3 polynomial with coefficient of x^3 equal to 1 and zeros -1, -4 i and 4 i.

Algebra ->  Polynomials-and-rational-expressions -> SOLUTION: Find a degree 3 polynomial with coefficient of x^3 equal to 1 and zeros -1, -4 i and 4 i.       Log On


   



Question 997365: Find a degree 3 polynomial with coefficient of x^3 equal to 1 and zeros -1, -4 i and 4 i.
Found 2 solutions by Boreal, MathLover1:
Answer by Boreal(15235) About Me  (Show Source):
You can put this solution on YOUR website!
The factors are the conjugate of the roots
(x+1) and (x^2+16)
Set each of them equal to zero, and the roots are -1,4i, -4i
The polynomial is x^3+x^2+16x+16

Answer by MathLover1(20850) About Me  (Show Source):
You can put this solution on YOUR website!
a degree 3 polynomial with coefficient of x%5E3 equal to 1
f%28x%29=x%5E3%2Bbx%5E2%2Bcx%2Bd
if given zeros x%5B1%5D=-1, x%5B2%5D=-4i and x%5B3%5D=4i, we will use zero product formula
f%28x%29=%28x-+x%5B1%5D%29%28x-+x%5B2%5D%29%28x-+x%5B3%5D%29....plug in given values

f%28x%29=%28x-+%28-1%29%29%28x-%28-4i%29%29%28x-+4i%29
f%28x%29=%28x%2B1%29%28x%2B4i%29%28x-+4i%29.....recall, %28x%2B4i%29%28x-+4i%29=x%5E2-%284i%29%5E2
f%28x%29=%28x%2B1%29%28x%5E2-+%284i%29%5E2%29....since %284i%29%5E2%29=4%5E2%2A%28i%29%5E2=16%28-1%29=-16, we have
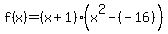
f%28x%29=%28x%2B1%29%28x%5E2-+%28-16%29%29
f%28x%29=%28x%2B1%29%28x%5E2%2B16%29
f%28x%29=x%5E3%2B16x%2Bx%5E2%2B16
f%28x%29=x%5E3%2Bx%5E2%2B16x%2B16