SOLUTION: Find all of the real and imaginary zeros for each polynomial function. a. g(x) = x^3 - 2x^2 - 5x + 6 b. m(x) = x^3 + 4x^2 + 4x + 3

Algebra ->  Polynomials-and-rational-expressions -> SOLUTION: Find all of the real and imaginary zeros for each polynomial function. a. g(x) = x^3 - 2x^2 - 5x + 6 b. m(x) = x^3 + 4x^2 + 4x + 3      Log On


   



Question 995054: Find all of the real and imaginary zeros for each polynomial function.
a. g(x) = x^3 - 2x^2 - 5x + 6
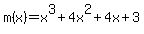
b. m(x) = x^3 + 4x^2 + 4x + 3

Answer by MathLover1(20850) About Me  (Show Source):
You can put this solution on YOUR website!
a.
g%28x%29+=+x%5E3-2x%5E2+-5x+%2B+6......set g%28x%29+=0 and factor completely
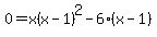
0+=+x%5E3-2x%5E2%2Bx+-6x+%2B+6
0+=+%28x%5E3-2x%5E2%2Bx%29+-%286x+-+6%29
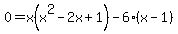
0=+x%28x%5E2-2x%2B1%29+-6%28x+-+1%29
0=+x%28x-1%29%5E2+-6%28x+-+1%29
0+=+%28x%28x-1%29+-6%29%28x+-+1%29
0=+%28x%5E2-x+-6%29%28x+-+1%29
0+=+%28x%5E2-3x%2B2x+-6%29%28x+-+1%29
0=+%28x%28x-3%29%2B2%28x+-3%29%29%28x+-+1%29
0+=+%28x-3%29+%28x-1%29+%28x%2B2%29
solutions:
if 0+=+%28x-3%29+=>x=3
if 0+=++%28x-1%29+=>x=1
if 0+=++%28x%2B2%29=>x=-2
so, here you have three real zeros
see it on a graph:
+graph%28+600%2C+600%2C+-10%2C+10%2C+-10%2C+10%2C+x%5E3-2x%5E2+-5x+%2B+6%29+


b.
m%28x%29+=+x%5E3+%2B+4x%5E2+%2B+4x+%2B+3

0+=+x%5E3+%2B+3x%5E2%2Bx%5E2+%2B+3x%2Bx+%2B+3
0+=+%28x%5E3+%2B+3x%5E2%29%2B%28x%5E2+%2B3x%29%2B+%28x+%2B+3%29
0+=+x%5E2%28x+%2B+3%29%2Bx%28x+%2B3%29%2B+%28x+%2B+3%29
0+=+%28x%2B3%29+%28x%5E2%2Bx%2B1%29
solutions:
if 0+=+%28x%2B3%29+=>x=-3=> one real solution
if 0+=+%28x%5E2%2Bx%2B1%29...use quadratic formula
x+=+%28-b+%2B-+sqrt%28+b%5E2-4%2Aa%2Ac+%29%29%2F%282%2Aa%29+
x+=+%28-1+%2B-+sqrt%28+1%5E2-4%2A1%2A1+%29%29%2F%282%2A1%29+
x+=+%28-1+%2B-+sqrt%28+1-4+%29%29%2F2+
x+=+%28-1+%2B-+sqrt%28+-3+%29%29%2F2+
x+=+%28-1+%2B-+i%2Asqrt%28+3+%29%29%2F2+

so, you have two imaginary zeros
x+=+%28-1+%2B+i%2Asqrt%28+3+%29%29%2F2+
and
x+=+%28-1+-+i%2Asqrt%28+3+%29%29%2F2+

+graph%28+600%2C+600%2C+-10%2C+10%2C+-10%2C+10%2C+x%5E3+%2B+4x%5E2+%2B+4x+%2B+3%29+