SOLUTION: I am suppose to add and express in the simplest form. x-13/x^2-x-12 + 3x-3/x^2-x-12 Could you tell me if I have this correct I got: 4 / x - 4 Is this correct? Thank yo

Algebra ->  Polynomials-and-rational-expressions -> SOLUTION: I am suppose to add and express in the simplest form. x-13/x^2-x-12 + 3x-3/x^2-x-12 Could you tell me if I have this correct I got: 4 / x - 4 Is this correct? Thank yo      Log On


   



Question 99461: I am suppose to add and express in the simplest form.
x-13/x^2-x-12 + 3x-3/x^2-x-12
Could you tell me if I have this correct I got: 4 / x - 4
Is this correct? Thank you for your help.

Answer by ankor@dixie-net.com(22740) About Me  (Show Source):
You can put this solution on YOUR website!
x-13/x^2-x-12 + 3x-3/x^2-x-12
Could you tell me if I have this correct I got: 4 / x - 4
Is this correct?
:
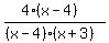
Not quite, since you have the same denominators we can write it:
%28%28x-13%2B3x-3%29%29%2F%28%28x%5E2-x-12%29%29 = %28%284x-16%29%29%2F%28%28x-4%29%28x%2B3%29%29 = %284%28x-4%29%29%2F%28%28x-4%29%28x%2B3%29%29 = 4%2F%28%28x%2B3%29%29
:
Note that the (x-4)'s cancel