SOLUTION: what is the greatest common factor (GCF) of the numerator and the denominator of the rational expression below? 2x+12/x^2+7x+6

Algebra ->  Polynomials-and-rational-expressions -> SOLUTION: what is the greatest common factor (GCF) of the numerator and the denominator of the rational expression below? 2x+12/x^2+7x+6      Log On


   



Question 990173: what is the greatest common factor (GCF) of the numerator and the denominator of the rational expression below? 2x+12/x^2+7x+6
Found 2 solutions by macston, solver91311:
Answer by macston(5194) About Me  (Show Source):
You can put this solution on YOUR website!
.
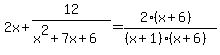
2x%2B12%2F%28x%5E2%2B7x%2B6%29=%282%28x%2B6%29%29%2F%28%28x%2B1%29%28x%2B6%29%29
.
GCF=(x+6)

Answer by solver91311(24713) About Me  (Show Source):
You can put this solution on YOUR website!


Factor the numerator and factor the denominator. One of the factors in the numerator will match one of the factors in the denominator; hence the factor the numerator and denominator have in common.

John

My calculator said it, I believe it, that settles it