SOLUTION: How do you the write the rational expression in lowest terms in which the numerator is xy-5x+2y-10 and the denominator is xy+3x+2y+6 ?

Algebra ->  Polynomials-and-rational-expressions -> SOLUTION: How do you the write the rational expression in lowest terms in which the numerator is xy-5x+2y-10 and the denominator is xy+3x+2y+6 ?      Log On


   



Question 987888: How do you the write the rational expression in lowest terms in which the numerator is xy-5x+2y-10 and the denominator is xy+3x+2y+6 ?
Found 2 solutions by solver91311, Edwin McCravy:
Answer by solver91311(24713) About Me  (Show Source):
You can put this solution on YOUR website!


Factor the numerator:









Using a similar process, factor the denominator. If you find a factor common to both numerator and denominator, you can eliminate the factor from both numerator and denominator.

John

My calculator said it, I believe it, that settles it

Answer by Edwin McCravy(20060) About Me  (Show Source):
You can put this solution on YOUR website!
This is an exercise in factoring by grouping. Instead of just 
doing yours for you, I'll do one exactly like it, done step by 
step the exact same way, and it has a similar answer:

I'll do this one instead:

How do you the write the rational expression in lowest terms in
which the numerator is xy+4x-5y-20 and the denominator is
xy+4x+3y+12 ?
%28xy%2B4x-5y-20%29%2F%28xy%2B4x%2B3y%2B12%29
Factor out x from the first two terms in the numberator.
Factor out -5 from the last two terms in the numberator.
Factor out x from the first two terms in the denominator.
Factor out +3 from the last two terms in the denominator.

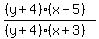
%28x%28y%2B4%29-5%28y%2B4%29%29%2F%28x%28y%2B4%29%2B3%28y%2B4%29%29

Factor (y+4) out of the two terms in the numerator.
Factor (y+4) out of the two terms in the denominator as well.

%28%28y%2B4%29%28x-5%29%29%2F%28%28y%2B4%29%28x%2B3%29%29

Cancel the (y+4)'s

%28x-5%29%2F%28x%2B3%29

Now do yours exactly the same way.

Edwin