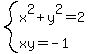
SOLUTION: If x^2 + y^2 = 2 and xy = -1, then x^3 + y^3 = ?

Algebra ->  Polynomials-and-rational-expressions -> SOLUTION: If x^2 + y^2 = 2 and xy = -1, then x^3 + y^3 = ?      Log On


   



Question 985582: If x^2 + y^2 = 2 and xy = -1, then x^3 + y^3 = ?
Answer by ikleyn(52803) About Me  (Show Source):
You can put this solution on YOUR website!

You have a system of two equations  (non-linear)  in two unknowns

system%28x%5E2+%2B+y%5E2+=+2%2C%0D%0Axy+=+-1%29.

Express  y  from the second equation  y = -1%2Fx  and substitute into the first equation.  You will have
x%5E2 + 1%2Fx%5E2 = 2.

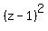
Introduce  z = x%5E2.  You will have

z + 1%2Fz = 2,   z%5E2 - 2z + 1 = 0,   %28z-1%29%5E2 = 0,   z = 1.

Hence,  x = sqrt%28z%29 = +/- 1.

Correspondingly,  y = -/+ 1.

Therefore,  the pairs  (x,y) = (1, -1)  and  (x,y) = (-1,1)  are the solutions.   There are no other solutions.

It implies that   x%5E3 + y%5E3 = 0.