SOLUTION: How do I simplify: 1/(x-3) - 1/(x+3) - 1/(x-1) + 1/(x+1) I tried but i got stuck and also i'm not sure if this is correct.. =[(x+3)-(x-3)]/[(x+3)(x-3) - [(x+1)-(x-1)]/[(x-1)(x+

Algebra ->  Polynomials-and-rational-expressions -> SOLUTION: How do I simplify: 1/(x-3) - 1/(x+3) - 1/(x-1) + 1/(x+1) I tried but i got stuck and also i'm not sure if this is correct.. =[(x+3)-(x-3)]/[(x+3)(x-3) - [(x+1)-(x-1)]/[(x-1)(x+      Log On


   



Question 980852: How do I simplify: 1/(x-3) - 1/(x+3) - 1/(x-1) + 1/(x+1)
I tried but i got stuck and also i'm not sure if this is correct..
=[(x+3)-(x-3)]/[(x+3)(x-3) - [(x+1)-(x-1)]/[(x-1)(x+1)]
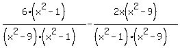
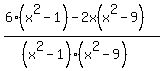
=6/[(x+3)(x-3)] - 2/[(x-1)(x+1)] I got stuck here, not sure what to do next.

Please show all working out and explanations. Thank you so much!!

Answer by MathLover1(20850) About Me  (Show Source):