SOLUTION: Please help me to solve the problem; If 27x^6+81x^4+81x^2+27=(ax^2+b)^3, then find ab

Algebra ->  Polynomials-and-rational-expressions -> SOLUTION: Please help me to solve the problem; If 27x^6+81x^4+81x^2+27=(ax^2+b)^3, then find ab      Log On


   



Question 980126: Please help me to solve the problem;
If 27x^6+81x^4+81x^2+27=(ax^2+b)^3, then find ab

Answer by MathLover1(20850) About Me  (Show Source):
You can put this solution on YOUR website!

if
27x%5E6%2B81x%5E4%2B81x%5E2%2B27=%28ax%5E2%2Bb%29%5E3, then find ab
first factor out 27
27%28x%5E6%2B3x%5E4%2B3x%5E2%2B1%29=..........write 3x%5E4 as x%5E4%2B2x%5E4 and 3x%5E2 as 2x%5E2%2Bx%5E2
27%28x%5E6%2Bx%5E4%2B2x%5E4%2B2x%5E2%2Bx%5E2%2B1%29=.........group
27%28%28x%5E6%2Bx%5E4%29%2B%282x%5E4%2B2x%5E2%29%2B%28x%5E2%2B1%29%29=factor out
27%28x%5E4%28x%5E2%2B1%29%2B2x%5E2%28x%5E2%2B1%29%2B%28x%5E2%2B1%29%29=
27%28x%5E4%2B2x%5E2%2B1%29%28x%5E2%2B1%29=
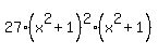
27%28x%5E2%2B1%29%5E2%28x%5E2%2B1%29=.......write 27 as 3%5E3
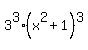
3%5E3+%28x%5E2%2B1%29%5E3=
%283x%5E2%2B3%29%5E3
so, a=3 and b=3