SOLUTION: 3/x-1=6/x+2

Algebra ->  Polynomials-and-rational-expressions -> SOLUTION: 3/x-1=6/x+2      Log On


   



Question 97139: 3/x-1=6/x+2
Answer by jim_thompson5910(35256) About Me  (Show Source):
You can put this solution on YOUR website!
3%2F%28x-1%29=6%2F%28x%2B2%29 Start with the given equation

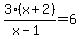
3%28x%2B2%29%2F%28x-1%29=6 Multiply both sides by x%2B2


3%28x%2B2%29=6%28x-1%29 Multiply both sides by x%2B6


3x%2B6=6x-6 Distribute


3x=6x-6-6Subtract 6 from both sides


3x-6x=-6-6 Subtract 6x from both sides


-3x=-6-6 Combine like terms on the left side


-3x=-12 Combine like terms on the right side


x=%28-12%29%2F%28-3%29 Divide both sides by -3 to isolate x



x=4 Divide

--------------------------------------------------------------
Answer:
So our answer is x=4