SOLUTION: Perform the indicated operations. 14x- 7 * x²+6x+8 ÷ x²+24 _______ ________ ______ x²+3-4 2x²+5x-3 x² + 2x-3

Algebra ->  Polynomials-and-rational-expressions -> SOLUTION: Perform the indicated operations. 14x- 7 * x²+6x+8 ÷ x²+24 _______ ________ ______ x²+3-4 2x²+5x-3 x² + 2x-3       Log On


   



Question 96642: Perform the indicated operations.
14x- 7 * x²+6x+8 ÷ x²+24
_______ ________ ______
x²+3-4 2x²+5x-3 x² + 2x-3

Answer by ankor@dixie-net.com(22740) About Me  (Show Source):
You can put this solution on YOUR website!
14x- 7 * x²+6x+8 ÷ x²+24
_______ ________ ______
x²+3-4 2x²+5x-3 x² + 2x-3
:
Invert the dividing fraction and mulitply
%28%2814x-7%29%29%2F%28%28x%5E2%2B3x-4%29%29 * %28%28x%5E2%2B6x%2B8%29%29%2F%28%282x%5E2%2B5x-3%29%29 * %28%28x%5E2%2B2x-3%29%29%2F%28%28x%5E2%2B24%29%29
:
Factor:
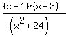
%287%282x-1%29%29%2F%28%28x%2B4%29%28x-1%29%29 * %28%28x%2B2%29%28x%2B4%29%29%2F%28%282x-1%29%28x%2B3%29%29 * %28%28x-1%29%28x%2B3%29%29%2F%28%28x%5E2%2B24%29%29
:
Cancel (2x-1), (x+4), (x+3) and (x-1)
:
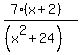
7 * (x+2) * 1%2F%28%28x%5E2%2B24%29%29 = %287%28x%2B2%29%29%2F%28%28x%5E2%2B24%29%29