Question 959245: Having a lot of difficulty visualizing this don't know where to put the exponents could really use explanations:
The function f is a fifth-degree polynomial with
the x-intercepts -5, 2, and 10,
y-intercept 500 and
f (x) ≥ 0 for x ≤ 10.
Find f (x).
f (x) =
I don't understand what f(x)≥0 for x≤10 means, please explain that and how to solve for the rest.
Thank you
Answer by MathLover1(20850) (Show Source):
You can put this solution on YOUR website! given:
a fifth-degree polynomial with
the x-intercepts , , and ,
y-intercept and
for
By hypothesis, has factors , , and by the Factor Theorem.
==> for some 2nd degree polynomial .
To determine :
We need for .
==> for
Note that each factor is negative for some .
There a few ways to deal with this; here is one way.
Note that both and change signs when , while does not.
Since we need to be quadratic, we can take for some constant .
Now, we have for some .
Note: that we have not changed the x-intercepts by repeating some of the factors
Since is never negative, needing for reduces to needing for .
*This is guaranteed if .
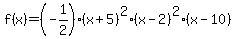
Finally, we use to determine :




==> , which is indeed negative.
Hence, we can take
|
|
|