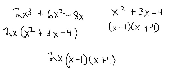
SOLUTION: Completely factor 2x^3 + 6x^2 - 8x
Algebra
->
Polynomials-and-rational-expressions
-> SOLUTION: Completely factor 2x^3 + 6x^2 - 8x
Log On
Algebra: Polynomials, rational expressions and equations
Section
Solvers
Solvers
Lessons
Lessons
Answers archive
Answers
Click here to see ALL problems on Polynomials-and-rational-expressions
Question 952504
:
Completely factor 2x^3 + 6x^2 - 8x
Answer by
fcabanski(1391)
(
Show Source
):
You can
put this solution on YOUR website!