SOLUTION: I know what I am supposed to do, and if I could find the LCD, I could solve the problem, but for the life of me, I am drawing a blank on how to factor (n^4 -1)

Algebra ->  Polynomials-and-rational-expressions -> SOLUTION: I know what I am supposed to do, and if I could find the LCD, I could solve the problem, but for the life of me, I am drawing a blank on how to factor (n^4 -1)      Log On


   



Question 94670: I know what I am supposed to do, and if I could find the LCD, I could solve the problem, but for the life of me, I am drawing a blank on how to factor (n^4 -1)
Answer by Earlsdon(6294) About Me  (Show Source):
You can put this solution on YOUR website!
Factor:
n%5E4-1 Notice that n%5E4+=+%28n%5E2%29%5E2, so now you can write:
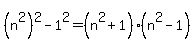
%28n%5E2%29%5E2+-+1%5E2 The difference of two squares can be factored:A%5E2-B%5E2+=+%28A%2BB%29%28A-B%29 Applying this to your problem:
%28n%5E2%29%5E2+-1%5E2+=+%28n%5E2%2B1%29%28n%5E2-1%29 but again, we have the difference of two squares in the second factor, n%5E2-1+=+%28n%2B1%29%28n-1%29so...
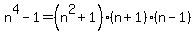
n%5E4-1+=+%28n%5E2%2B1%29%28n%2B1%29%28n-1%29 we would normally stop here, because the factors of n%5E2%2B1involve the imaginary number sqrt%28-1%29+=+i
If you are interested though:
n%5E2%2B1+=+%28n%2Bi%29%28n-i%29 but don't use this if you have not yet come to imaginary numbers.