SOLUTION: Can you please help me. The problem says perform the indicated operation and simplify the result. Leave answers in factored form: A.{{{((12)/(x^2-x)) *((x^2-1)/(4x-2))}}} b.{{{(x)

Algebra ->  Polynomials-and-rational-expressions -> SOLUTION: Can you please help me. The problem says perform the indicated operation and simplify the result. Leave answers in factored form: A.{{{((12)/(x^2-x)) *((x^2-1)/(4x-2))}}} b.{{{(x)      Log On


   



Question 94240: Can you please help me. The problem says perform the indicated operation and simplify the result. Leave answers in factored form: A.%28%2812%29%2F%28x%5E2-x%29%29+%2A%28%28x%5E2-1%29%2F%284x-2%29%29 b.%28x%29%2F%28x-3%29-%28x%2B1%29%2F%28x%5E2%2B5x-24%29 c.%281%2Fh%29%2A%281%2F%28x%2Bh%29-1%2Fx%29 d.%285%284x%2B1%29-4%285x-2%29%29%2F%285x-2%29%5E2 If possible could you show me the steps and rules used to complete these. Thank you sooooo much!!!
Answer by ankor@dixie-net.com(22740) About Me  (Show Source):
You can put this solution on YOUR website!
Can you please help me. The problem says perform the indicated operation and simplify the result. Leave answers in factored form:
:
:
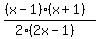
A.12%2F%28%28x%5E2-x%29%29 *%28%28x%5E2-1%29%29%2F%28%284x-2%29%29
:
Step 1 is to see what can be factored, often you will have the same factors
and can see some that can be factored out, which simplifies things.
Note that (x^2-1) is the difference of squares
In this one we can do this:
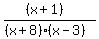
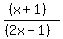
12%2F%28x%28x-1%29%29 *%28%28x-1%29%28x%2B1%29%29%2F%282%282x-1%29%29
:
Cancel the (x-1)'s. The 2 will cancel into the 12. Leaving us with:
6%2Fx *%28%28x%2B1%29%29%2F%28%282x-1%29%29 = %286%28x%2B1%29%29%2F%28x%282x-1%29%29
:
:
b. x%2F%28%28x-3%29%29 - %28%28x%2B1%29%29%2F%28%28x%5E2%2B5x-24%29%29
:
x%2F%28%28x-3%29%29 - %28%28x%2B1%29%29%2F%28%28x%2B8%29%28x-3%29%29
:
Common denominator would be (x-3)(x+8), so we can have:
%28x%28x%2B8%29+-+%28x%2B1%29%29%2F%28%28x-3%29%28x%2B8%29%29 = %28x%5E2+%2B+8x+-+x+-+1%29%2F%28%28x-3%29%28x%2B8%29%29 = %28x%5E2+%2B+7x+-+1%29%2F%28%28x-3%29%28x%2B8%29%29
:
the final numerator won't factor so that's about all we can do with it
:
:
c. Here we want to place the second expression over a common denominator 1st.
1%2Fh*%281%2F%28%28x%2Bh%29%29+-+1%2Fx%29 = 1%2Fh*%281x+-+1%28x%2Bh%29%29%2F%28x%28x%2Bh%29%29 = 1%2Fh*%281x+-+1x+-+h%29%2F%28x%28x%2Bh%29%29 = 1%2Fh*%28-h%29%2F%28x%28x%2Bh%29%29
;
Cancel h into -h and you have:
%28-1%29%2F%28x%28x%2Bh%29%29 = -1%2F%28x%28x%2Bh%29%29
:
:
d. Multiply what's inside the brackets, remember a minus outside the brackets
changes the signs inside the brackets.
%285%284x%2B1%29-4%285x-2%29%29%2F%28%285x-2%29%5E2%29 = %2820x+%2B+5+-+20+x+%2B+8%29%2F%28%285x-2%29%285x-2%29%29 = %2813%29%2F%28%285x-2%29%285x-2%29%29
:
:
If possible could you show me the steps and rules used to complete these
:
The rules are much the same as for dealing with numerical fractions,
Remember the rule about a negative outside the brackets.
When factoring, look for the difference of squares for example:
(x^2 - 4) factors to (x+2)(x-2); and 4x^2 - 9) factors to (2x+3)(2x-3)
Use a step-by-step approach
:
Any questions about what we did here?