SOLUTION: Find the domain of the rational function. Then find the indicated values of the function if possible. G(a)=(3-5a)/(2a+7) G(5), G(-7/2)

Algebra ->  Polynomials-and-rational-expressions -> SOLUTION: Find the domain of the rational function. Then find the indicated values of the function if possible. G(a)=(3-5a)/(2a+7) G(5), G(-7/2)       Log On


   



Question 939908: Find the domain of the rational function. Then find the indicated values of the function if possible.

G(a)=(3-5a)/(2a+7) G(5), G(-7/2)

Answer by MathLover1(20850) About Me  (Show Source):
You can put this solution on YOUR website!

G%28a%29=%283-5a%29%2F%282a%2B7%29
since denominator cannot be equal to zero, exclude the value of a that makes denominator equal to zero
%282a%2B7%29=0 if 2a=-7 =>a=-7%2F2
so, domain is { a element R : a%3C%3E-7%2F2 }
(assuming a function from reals to reals)

find the indicated values of the function if possible:
G%285%29=+%283-5%2A5%29%2F%282%2A5%2B7%29

G%285%29=+%283-25%29%2F%2810%2B7%29

G%285%29=+-22%2F17
G%285%29=+-1.294117647058824
G%285%29=+-1.29 ....the indicated value of the function has possible solution

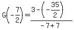
G%28-7%2F2%29=%283-5%2A%28-7%2F2%29%29%2F%28cross%282%29%2A%28-7%2Fcross%282%29%29%2B7%29
G%28-7%2F2%29=%283-%28-35%2F2%29%29%2F%28-7%2B7%29
G%28-7%2F2%29=%283%2B35%2F2%29%2F0.....no solution,the indicated value of the function does not have possible solution