SOLUTION: Express 3 / 2 + radical 3 as an equivalent fraction with a rational denominator. answers 1) 6 - 3 radical 3 2) 6 + 3 radical 3 3) (6 - 3 radical 3)/ 2 4) (5 - 3 radical 3)/

Algebra ->  Polynomials-and-rational-expressions -> SOLUTION: Express 3 / 2 + radical 3 as an equivalent fraction with a rational denominator. answers 1) 6 - 3 radical 3 2) 6 + 3 radical 3 3) (6 - 3 radical 3)/ 2 4) (5 - 3 radical 3)/       Log On


   



Question 935961: Express 3 / 2 + radical 3 as an equivalent fraction with a rational denominator.
answers
1) 6 - 3 radical 3
2) 6 + 3 radical 3
3) (6 - 3 radical 3)/ 2
4) (5 - 3 radical 3)/ 2

Answer by MathLover1(20850) About Me  (Show Source):
You can put this solution on YOUR website!

I guess you have this:

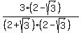
3+%2F+%282+%2B+sqrt%283%29%29

3%282+-+sqrt%283%29%29+%2F+%28%282+%2B+sqrt%283%29%29%282+-+sqrt%283%29%29%29

3%282+-+sqrt%283%29%29+%2F+%282%5E2+-+%28sqrt%283%29%29%5E2%29

%286+-+3sqrt%283%29%29+%2F+%284+-+3%29

%286+-+3sqrt%283%29%29+%2F+1

%286+-+3sqrt%283%29%29=> answer is 1)