SOLUTION: Let P(x) = (6x – 5)(x + 4)(5x – 2)(x + 8). a) What is the degree of P(x)? b) List the exact coordinates of the points which are the x-intercepts of the graph of P(x). c) Name

Algebra ->  Polynomials-and-rational-expressions -> SOLUTION: Let P(x) = (6x – 5)(x + 4)(5x – 2)(x + 8). a) What is the degree of P(x)? b) List the exact coordinates of the points which are the x-intercepts of the graph of P(x). c) Name       Log On


   



Question 922715: Let P(x) = (6x – 5)(x + 4)(5x – 2)(x + 8).
a) What is the degree of P(x)?
b) List the exact coordinates of the points which are the
x-intercepts of the graph of P(x).
c) Name the exact coordinates of the point which is the y-intercept
of the graph of P(x).
d) Solve P(x) = 0.
e) Write P(x) in the form P(x) = an(x – x1)(x – x2)∙∙∙(x – xn) where
an is the leading coefficient of P(x) and x1 , ..., xn are the zeros
of P(x)

Answer by Fombitz(32388) About Me  (Show Source):
You can put this solution on YOUR website!
a) 4
.
.
.
b) 6x-5=0
6x=5
x=5%2F6
.
.
x%2B4=0
x=-4
.
.
5x-2=0
5x=2
x=2%2F5
.
.
x%2B8=0
x=-8
.
.
.
c) When x=0,
P%280%29=%28-5%29%284%29%28-2%29%288%29
P%280%29=320
(0,320)
.
.
.
d)Same as b).
.
.
.
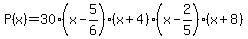
e)6x-5=6%28x-5%2F6%29
5x-2=5%28x-2%2F5%29
So then,
P%28x%29=30%28x-5%2F6%29%28x%2B4%29%28x-2%2F5%29%28x%2B8%29