SOLUTION: How do I find the zeros of f(x) and also how do I factor f(x) to make it as a product of linear factors? the polynomial is: x^4 - 8x^3 + 21x^2 - 32x + 68 and there's a zero of f(x

Algebra ->  Polynomials-and-rational-expressions -> SOLUTION: How do I find the zeros of f(x) and also how do I factor f(x) to make it as a product of linear factors? the polynomial is: x^4 - 8x^3 + 21x^2 - 32x + 68 and there's a zero of f(x      Log On


   



Question 921620: How do I find the zeros of f(x) and also how do I factor f(x) to make it as a product of linear factors?
the polynomial is: x^4 - 8x^3 + 21x^2 - 32x + 68 and there's a zero of f(x) which is 2i
thanks

Answer by josgarithmetic(39621) About Me  (Show Source):
You can put this solution on YOUR website!
Use that known zero and polynomial division to obtain the other quadratic factor. Use either factorization or general solution of quadratic equation to find the last two zeros.

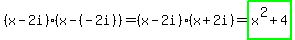
How that starts is two of your zeros are 2i and -2i. This makes the quadratic factor of the function f, %28x-2i%29%28x-%28-2i%29%29=%28x-2i%29%28x%2B2i%29=highlight_green%28x%5E2%2B4%29.

Now you should know how to use that and continue.

There are in fact, NO REAL ZEROS, determined with the help of the graphing capability in Google search engine; as well as results using testing possible rational roots with synthetic division.